Kalkulyatorlar haqida ikki og‘iz
Kalkulyatorlar haqida ikki og‘iz
Kalkulyatorlar matematikani o‘rgatmaydi, lekin ayrim hisob-kitoblarni yaxshiroq tushunishda, yoki, hisoblashlarni tezroq bajarishda ko‘mak beradi. Ularning ayniqsa katta sonlar bilan ishlashdagi amaliy ahamiyatini inkor etib bo‘lmaydi. Biroq, kalkulyator bilan hisoblash va miyani ishlatib qo‘lda hisoblash qo‘llaniladigan matematik uslublar o‘rtasida katta farq bor…
Aytaylik, bizga 183 sonining 5 darajali ildizini, ya’ni,
ni chiqarish kerak. Quyida, ushbu nisbatan sodda matematik amalni ikki xil yo‘l bilan hisoblab chiqish usullarini ko‘rsatamiz. Birinchisida — maktabda olingan matematik bilimlar asosida, o‘qituvchilarimiz aytganidek, «miyani ishlatib», qog‘oz va qalam vositasida hisoblaymiz. Ikkinchisida esa, cho‘ntak kalkulyatoridan foydalanib, xuddi bozordagi savdogarlar singari hisoblaymiz (lekin bozorda hecham
ni hisoblashga to‘g‘ri kelmasa kerak
).
1-usul:
Amalning natijasini A bilan belgilaymiz, ya’ni, A=
. Tenglikning har ikkala qismining logarifmini aniqlaymiz. log A=log .
Qidirilayotgan sonning daraja ko‘rsatkichini kasr ko‘rinishida ifodalaymiz.
=(183)1/5
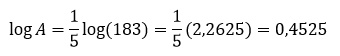
Qoidaga ko‘ra, darajaning logarifmi, daraja ko‘rsatkichi va uning asosning logarifmining ko‘paytmasiga teng. Shunga ko‘ra: log A=1/5 log(183)
Endi logarifmik jadvaldan foydalanish kerak bo‘ladi. Balki aynan shu bosqich hozirda eng qiyini bo‘lsa kerak. Chunki, yaqin yillarda logarifmik jadvallarni topish biroz mushkul bo‘lib qoldi. Ilgarilari «Bradis jadvallari« nomi ostida chop etilgan, logarifmlar-antilogarifmlar, sinuslar-kosinuslar, ifodalangan jadvallardan foydalanilardi. Hozirda ham bunday jadvallarni kutubxonalardan izlab topish mumkin. Gap uch xonali son haqida borayotgani sababli, izlanayotgan logarifmning butun qismi 2 ga teng bo‘lishi aniq. Mantissani hisoblash uchun esa, logarifmlar jadvalidan foydalanamiz u orqali kasr qismini qidirib topamiz. Biz o‘ta aniqlik talab etuvchi astronomik hisob-kitoblarni bajarmayapmiz, shunchaki, matematik misol yechayapmiz. Shu sababli, bizga kasrning verguldan keyingi uch xonasini aniqlasak ham kifoya qiladi. Jadvalda bizga zarur raqamlar «3« — ustunining 18-satrida joylashgan. Unda 2625 raqamini ko‘rish mumkin:

Demak, log(183)=2,2625
Endi, eng avvalgi tenglamaga qaytamiz va talab etilayotgan amalni bajaramiz:

Biz qidirilayotgan A sonining logarifmini topdik. Endi, ushbu sonni o‘zini topish uchun, 0,4525 sonining antilogarifmini topishimiz kerak. Buning uchun bizga antilogarifmlar jadvali kerak bo‘ladi. Buning uchun, 0,4525 ni antilogarifmlar jadvalidan qidiramiz. Antilogarifmlar jadvalining 4525 ni topilmadi. Endi biz unga eng yaqin keladigan sonni izlashimiz lozim. Jadvalning 28-satr, 3-ustunida 4525 ga eng yaqin son 4518 ko‘rsatilgan. U biz qidirayotgan qiymatdan 7 ga kam. Shuning uchun, o‘ng tarafdagi kasr qismlar jadvalidan 7 ni izlaymiz. U yerda ham 7 yo‘q va unga eng yaqin sonni olishga majbur bo‘lamiz (bu darajadagi aniqlik oddiy matematik misol uchun yetarli bo‘ladi). Bu 6 soni. Ushbu son joylashgan ustun raqami, bizning sonimizning verguldan keyingi uchinchi xonadagi soni bo‘ladi. Demak, izlayotgan son A=2,834.
Ko‘rib turganingizdek, qog‘oz va qalam vositasida hisoblash anchayin matematik mulohazani va muayyan jadvallardan foydalana olish tajribasini talab etadi. Shuningdek, hisoblash uchun sarflangan vaqtni ham inobatga olib qo‘yish darkor. Endi xuddi shu hisoblashni kalkulyator vositasida bajaramiz.
2-usul:
Buning uchun muhandislik kalkulyatorini qo‘lga olib, tugmalarni quyidagi ketma-ketlikda bosish kifoya qiladi.

Muqobil variantlar bormi?
Biz ikki xil usulni o‘zaro taqqoslash uchun keltirgan misol — juda oddiy arifmetik misollar turkumiga kiradi. Unda shunchaki bir sonning ildizini topish talab etilmoqda. Biz ataylab 5 darajali ildizni misol qilib keltirdik. Chunki, kvadrat ildizdan farqli o‘laroq, beshinchi darajali ildiz uchun hisoblash algoritmi mavjud emas. Albatta, kalkulyatorning afzalliklarini yanada aniq va inkor etib bo‘lmas tarzda ko‘rsatib beradigan murakkabroq misollarni ham ko‘plab keltirish mumkin.
Albatta, hisob-kitoblarni kalkulyatorlardan foydalanib bajarishning foyda-zarari to‘g‘risida o‘rta maktablardan boshlab, kollej va oliy o‘quv yurtlarigacha bo‘lgan bosqichlarda ham o‘quvchi-talabalar, ham ustoz-murabbiylar o‘rtasida turli bahs-munozaralar ancha yillardan buyon davom etmoqda. Albatta bu borada har kimning o‘ziga maqbul ko‘rinadigan shaxsiy fikri bo‘lgani muhim. Bir tarafdan olib qaralsa, oddiy kalkulyator vositasida sanoqli soniyalarda bajarish mumkin bo‘lgan hisob-kitob uchun ko‘p daqiqa sarflab vaqt ketkazish ham o‘rinli emas. Biroq, texnika vositasida bajarilayotgan hisob-kitobning asl mohiyatini anglab yetmasdan, shunchaki tugmalarni bosib natijaga erishishni ham sog‘lom aql ma’qullamaydi. Chunki bu ishni robot ham bajarishi mumkin. Hisob-kitob uslubini, aytaylik, logarifmni hisoblash ketma-ketligini (algoritmini) o‘rganish, bilish, tushunishning o‘zi bir narsa; ko‘ndalang turgan masalani hal qilish uchun o‘sha algoritmdan foydalanish kerakligini ongli ravishda tushunib yetish va algoritmni amaliy qo‘llay olish — boshqa narsa. Masalan, olim Neper logarifmlarni o‘ylab topgan vaqtda, uning maqsadi, matematik mutaxassislarning murakkab daraja ko‘rsatkichlariga ega hisob-kitoblarga sarflayotgan vaqtlarini qisqartirish bo‘lgan. Chunki, matematiklar ko‘p vaqtlarini mayda-chuyda hisob-kitoblarga sarflab, oqibatda yanada muhimroq ishlari uchun ulgurmay qolish holatlari ko‘p kuzatilgan. Aytaylik, biror yirik matematik olim muhim bir kashfiyotni amalga oshirishi mumkin bo‘lgan, yoki, yangi bir ilmiy nazariyani mulohaza qilishi uchun sarflashi mumkin bo‘lgan qimmatli vaqtini, shunchaki qog‘oz- qalam ustida, uzundan-uzoq arifmetik amallarni bajarish bilan sarflab yuborardi. o‘sha zamonlarda, Neper taklif qilgan logarifmlardan foydalanish orqali, matematiklar hisoblash tezligini birmuncha oshirib olib, yanada ko‘proq ilmiy ishlarga ulgura boshlashgan. Bu haqida olimlar orasida hatto «Neper astronomlarining umrini uzaytirdi« qabilidagi yarim hazil, yarim chin mutoyiba ham ommalashgan edi.
Keyinchalik, hisob-kitoblarga sarflanayotgan vaqtni tejashga mo‘ljallangan yan bir necha vositalar paydo bo‘ldi. Ular qatorida birinchi bo‘lib logarifmik jadvallar, logarifmik chizg‘ichlarni misol qilib keltirish mumkin. Avvaliga olimlar muayyan qiymatlarning logarifmini tezkor aniqlash uchun maxsus jadvallar tuzib chiqib chop etishdi va bu narsa juda tez ommalashdi. Keyinchalik esa, ma’lum chegarada bo‘lsa-da, harholda uncha-muncha sonning logarifmini tez va oson topish imkonini beruvchi logarifmik chizg‘ichlar va maxsus logarifmik uskunalar paydo bo‘la boshladi. Xususan, 1878-yilda ingliz muhandisi Fuller logarifmik shkalani spiral shaklida o‘rab chiqish orqali, «Fuller spirali« deb nomlangan, logarifmlarni oson va tez topish imkonini beradigan uskuna ixtiro qildi.

Hisoblash va fikrlash…
Bu boradagi zamonaviy bahslarga qaytadigan bo‘lsak, albatta, ko‘plab ustozlarning, ta’lim jarayonida kalkulyatordan foydalanish o‘quvchining mantiqiy fikrlashiga to‘sqinlik qilishi haqidagi xavotirlari mutlaqo o‘rinli. Yuqorida ham aytilganidek, hisoblashlarda shunchaki vaqt tejash, yoki, xatolik ehtimolini kamaytirish uchun kalkulyatordan foydalanish — bu muhim va kerakli narsa. Lekin, o‘sha hisoblashlarning mohiyatni anglash, ketma-ketlik qoidalarini bilish va kombinatsiyalarni to‘g‘ri bajara olish uchun, avvalo bajarilayotgan amallarning nazariy asosini yaxshi bilish lozim bo‘ladi. Bunday ko‘nikma va tajribani esa, an’anaviy usulda, ya’ni, qog‘oz va qalam vositasida bajarilgan muttasil mashqlarsiz hosil qilib bo‘lmaydi. Bunday ko‘nikmalarga ega bo‘lmagan shaxs, o‘sha amallarni kalkulyatorda bo‘lsa ham qanday hisoblash kerakligini tushunmaydi va bilmaydi. Axir, matematik hisoblashni texnika vositasida hal qilish uchun ham, bajarilishi kerak bo‘lgan amallar tartibini bilish, qisqa qilib aytganda, algoritmni mantiqan tasavvur qila olish zarur. Barcha matematik amallar, yoki, ularning eng asosiylari bo‘lganlarini mantiqiy mulohazalar orqali qo‘lda, qog‘ozga tushirib yecha olishni mukammal o‘zlashtirgandan so‘ng, keyinchalik vaqt tejash va xatolik ehtimolini kamaytirish uchun kalkulyatordan foydalanish maqsadga muvofiq nazarimda.
Agar, ta’lim jarayonida kalkulyatordan foydalanishning afzalliklari yoki, salbiy jihatlari haqidagi bahs — yoshlarning intellektual salohiyatiga to‘g‘ridan-to‘g‘ri ta’sir omiliga ega ekanini inobatga olsak, bu narsaga mas’uliyat bilan yondoshish naqadar muhimligi ayonlashadi. Zero, mantiqiy mulohaza qobiliyati, kishining intellektual salohiyatini ko‘p jihatdan belgilovchi omildir. Mantiqiy mulohaza qobiliyatini shakllantirish va rivojlantirishda esa matematika shubhasiz markaziy o‘rin tutadi.
Ta’limdagi ta’siri haqidagi bahsni bas qilib, kalkulyatorlarning boshqa sohalardagi o‘rni haqida fikr yuritsak, albatta ko‘plab ijobiy jihatlarni tushunib yetishimiz mumkin. Xususan, juda kichik, yoki, juda katta miqdorlar bilan ishlashni talab qiluvchi sohalarda, ilmiy laboratoriyalarda, murakkab trigonometrik amallarni taqozo qiladigan ishlarda bugungi kunda kalkulyatorsiz uzoqqa borib bo‘lmaydi. Ayniqsa, muhandislikning loyiha-konstruktorlik yo‘nalishlarida, astronomik hisob-kitoblarda, kimyo laboratoriyalarida, geologiyada, qo‘yingki barcha amaliy sohalarda kalkulyator — ish stolining, yoki, operativ portfelning ajralmas qismiga aylanib qolgan. Bozorlardagi sotuvchilarniku — qo‘yaverasiz. Buxgalteriya, moliya-bank sohasi xodimlari ham, o‘z ishlarida kalkulyatorlardan muntazam foydalanadilar. Lo‘ndasini aytganda, ushbu texnika vositasi bugungi kunda eng ko‘p ishlatiladigan texnikalardan biri sifatida o‘zining ham ilmiy, ham amaliy ahamiyatini allaqachon mustahkamlab olgan.
Umuman qilib esa, kalkulyatorlarning ikki turi tasniflanadi. Ya’ni, standart kalkulyator va muhandislik kalkulyatori. Standart kalkulyator masalan, savdo muassasalari uchun kifoya qiladigan, ya’ni, asosiy to‘rt arifmetik amal: +, −, × va ÷ amallarini bajarish uchun mo‘ljallangan va ildiz chiqarish («√«), natijani xotirada ushlab turish («MR«) kabi yana boshqa ayrim kichik funksiyalarni o‘z ichiga olgan oddiy kalkulyatorlardir. Kundalik turmushda aynan shu turdagi kalkulyatorlar juda keng tarqalgan. Muhandislik kalkulyatorlari esa, asosiy to‘rt arifmetik amaldan tashqari, shuningdek, deyarli boshqa barcha amallarni, xususan, integral, binom, eksponenta, trigonometrik funksiyalar, logarifmlar, radian va ho kazolarni ham hisoblash imkonini beradi. Standart kalkulyator va muhandislik kalkulyatorini farqlab olish ham juda oson. Muhandislik kalkulyatorida tugmalar soni juda ko‘p bo‘ladi va ularning yarmidan ko‘pi, maxsus tugmalar bo‘lib, mutaxassis bo‘lmagan shaxslar uchun tushunarsiz bo‘lishi tabiiy. Qolaversa, muhandislik kalkulyatorida «Scientific calculator« yozuvi tushirilgan yorliq mavjud bo‘ladi:


Standart kalkulyator (chapda) va muhandislik kalkulyatori (o‘ngda)
Standart va muhandislik kalkulyatoridan tashqari, yana shuningdek, dasturchilar uchun maxsus kalkulyatorlar ham mavjud bo‘lib, bu turdagi kalkulyator turli sanoq tizimlari orasida amallarni bajarish, mantiqiy funksiyalarni ishlash kabi qo‘shimcha qulayliklarga ega. Biroq, dasturchilar 99,99% holatda faqat kompyuterdan foydalanib ishlaganliklari bois, odatda dasturchilik kalkulyatorlari alohida ishlab chiqarilmaydi va kompyuter dasturi sifatida tarqatiladi xolos.
Modomiki, gapimizga shu nuqtada kompyuterlar va dasturchilar ham aralashgan ekan, adolat yuzasida, deyarli kompyuterlarda operatsion tizimlarning uzviy qismi sifatida uchraydigan kalkulyator dasturi haqida ham to‘xtalib o‘tish joiz. Operatsion tizim tarkibidagi kalkulyator inglizcha sistemada «Start« menyusining «Accessories« bo‘limida, ruscha tizimda esa «пуск«menyusining «стандартные« bo‘limida bo‘ladi. Shuningdek, operatsion tizim kalkulyatorini buyruqlar qatorida calc.exe buyrug‘ini berib ham chaqirish mumkin. Operatsion tizim kalkulyatori chaqirilganda avvaliga standart kalkulyator namoyon bo‘ladi. Uning menyusi orqali muhandislik kalkulyatoriga o‘zgartirish mumkin. Windows 10 operatsion tizimida standart, muhandislik va dasturchilik kalkulyatorlari quyidagicha ko‘rinishga ega:

Biroq, Windows tizimidagi har uchala xil kalkulyatorni qo‘llashda e’tibor qaratish lozim bo‘lgan muhim bir jihat mavjud. Masalan, 4+7·8 amalini Windowsning standart kalkulyatorida bajarsangiz, natija 88 chiqadi. Vaholanki bu noto‘g‘ri!!! Xuddi shu hisoblashni muhandislik kalkulyatorida bajarilsa, natija 60 chiqadi va shu to‘g‘ri natijadir. Ziyrak mutolaachi tushungan bo‘lsa kerak, bu yerda amallar tartibi hamma narsani hal qilmoqda. Standart kalkulyatorga bir necha amal ketma-ket kiritilganda, u amallarni qanday bo‘lsa, shunday ketma-ketlikda bajaradi. Shu sababli, Windowsning standart kalkulyatorida qo‘shish va ko‘paytirish, bo‘lish va ayrish amallarini bir vaqtni o‘zida kiritib yechishga urinish noto‘g‘ri yechimga olib keladi. Lekin, muhandislik kalkulyatorida amallarni istalgan ketma-ketlikda kiritish mumkin. Kalkulyator amallar tartibini o‘zi to‘g‘rilab oladi va hammasini qoidaga binoan yechib beradi.
Agar muhandislik kalkulyatorida murakkab amallarni bajarilishi natijasida juda katta son chiqsa, unda ekranda EXP ramzi, yoki, e harfi chiqib qolishi mumkin. Bu, joriy hisoblashda muhandislik notatsiyasi qo‘llanayotganidan darak bo‘ladi. Bunday holda, natija o‘nli kasr, yoki, sonning o‘n darajasiga ko‘paytmasi tarzida ifodalanayotgan bo‘ladi. Masalan:
2,1 EXP 7 = 210000000
5,6 EXP (?)4 = 0,00056
Agar, 38! faktorialni hisoblamoqchi bo‘lsangiz, unda Windows operatsion tizimidagi muhandislik kalkulyatorida 5,2302261746660111176000722410007e+44 natijasi namoyon bo‘ladi. Bu degani, ko‘rsatilgan sonning 1044 ga ko‘paytmasi deganidir.
Muhandislik kalkulyatorning oddiy cho‘ntak yoki, ish stoli variantlarida ham, shuningdek, kompyuterdagi muhandislik kalkulyatorida ham hisoblashlarni bajarishda, murakkab matematik amallarni yuklashda shoshqaloqlik qilmaslik kerak. Chunki, noto‘g‘ri berilgan buyruqlar natijasida kalkulyator «osilib« qolishi, ya’ni, qotib qolishi, yoki, hatto ishdan chiqish ham mumkin.
Qanday kalkulyatorni tanlagan ma’qul?
Bugungi kunda kalkulyatorlar allaqachon smartfonlarning ilovasiga va kompyuterlarga «ko‘chib o‘ta» boshlashgan. Ilgarilari hisob-kitob uchun shaqillatib cho‘t ishlatgan
do‘kondorlar, keyinchalik kalkulyator tugmalariga bosishga o‘tishgan bo‘lsa, endi osongina, smartfonlaridagi dasturdan foydalanib qo‘ya qolishmoqda. Buxgalteriya sohasida ham, ilmiy yo‘nalishlarda ham shunga o‘xshash tendensiyani kuzatish mumkin. Bu sohalarda allaqachon maxsus kompyuter dasturlari, hech bo‘lmaganda esa, MS EXCELL dasturi, oddiy kalkulyatorga bo‘lgan ehtiyojni butunlay bo‘lmasa-da, harholda biroz chetroqqa surib qo‘yib bo‘ldi nazarimda.
Biroq, shunga qaramay, oddiy cho‘ntak kalkulyatori, yoki, ish stoli kalkulyatorlarini hali hanuz do‘konlar peshtaxtalarida uchratish mumkinligi, ushbu texnika vositasini nafaqaga chiqarishga hali shoshmaslik zarurligiga ishora bermoqda. Qanday kalkulyatorni sotib olish esa, albatta unchalik qiyin bo‘lmagan tanlov. Agar sizga faqat savdodagi hisob-kitoblar, yoki, moliya-buxgalteriya amaliyoti uchun hisob-kitoblarni bajarish zarur bo‘lsa, standart kalkulyator kifoya qiladi.
Biroq, sizga muhandislik kalkulyatori zarur bo‘lsa, tanlovda biroz shoshmasdan xarid qilganingiz ma’qul. Hozirda muhandislik kalkulyatorlarning hatto turli funksiyalarning grafiklarini ham chizib bera oladigan darajadagi mukammallari mavjud. Bunday kalkulyatorlar grafikali muhandislik kalkulyatori deb ataladi va odatda boshqalarga nisbatan ancha katta ekranga ega bo‘ladi. Ularning hisoblash tezligi ham oddiy muhandislik kalkulyatorlaridan bir sezilarli darajada yuqori bo‘lib, narxi ham ancha qimmat turadi. Bunday kalkulyatorlar ayniqsa oliy matematika kurslarida matematik analiz bo‘yicha grafiklarni yasashda juda qulayliklar tug‘dirishi bilan, matematika yo‘nalishi talabalarining ovunchog‘iga aylangan. Bunday kalkulyatorlar orqali, qog‘oz va qalam bilan ishlab, bir necha soat vaqt oladigan va bir necha sahifa varoqni band qiladigan funksiya grafiklarini, bir necha daqiqa ichida yasash mumkin. Boz ustiga, funksiya grafiklarining ekrandagi tasviri, uni qo‘lda chizgandagidan ko‘ra aniqroq darajada namoyon bo‘ladi.
Bu qiziq:
- Logarifmik chizg‘ichning ilk ko‘rinishlaridan birini 1633-yilda ingliz matematigi Uilyam Otred (1574-1660) yasagan. Logarifmik chizg‘ichning turli ko‘rinishlarinimuhandislar va me’morlar deyarli uch yuz yil davomida — toki, kompyuterlar va muhandislik kalkulyatorlari paydo bo‘lguncha muddat davomida o‘z ishlarida muttasil qo‘llab kelishgan. Logarifmik chizg‘ichdan foydalanishni o‘rganish mashqlari 1970-yillarga qadar barcha texnika oliy o‘quv yurtlarida majburiy dars sifatida o‘tilar edi. Muhandislar uchun logarifmik chizg‘ichdan foydalanishni bilmaslik uyat sanalgan.

- Ilk ish stoli kalkulyatorini, elektronika qismlari ishlab chiqarish bilan shug‘ullanuvchi Yaponiyalik kichik tadbirkor — Tadao Kashio (1917-1993) loyihalagan va yasagan. Aytishlaricha, u ko‘rgazmalardan birida elektr tokida ishlaydigan kattagina kalkulyatorni ko‘rib, undan ilhomlangan ekan. Taassurotlari asosida u o‘z firmasiga kelib, solenoidlar asosida ishlovchi ilk ixcham kalkulyatorni yasadi. Uning loyihasida asosida ishlab chiqarilgan ixcham kalkulyatorlar borgan sari takomillashib, yanada ixchamlashib, shu bilan birga, funksionalligi ortib bordi. Ko‘zingiz tushgan bo‘lsa, «Casio» brendi ostidagi kalkulyatorlar aynan ushbu muhandisning zakovati mahsulidir.

Kashio Tadao. «Casio» asoschisi
Bizni ijtimoiy tarmoqlarda ham kuzatib boring:
Feysbukda: https://www.facebook.com/Orbita.Uz/
Tvitterda: @OrbitaUz
Qiziqarli matematika
Kalkulyatorlar haqida ikki og‘iz
Manba:orbita.uz